未来索引
开启左侧

链路电源技术在Pyxos嵌入式网络中的应用

  [复制链接]
邢远 发表于 2013-8-27 01:52:42 | 显示全部楼层 |阅读模式 打印 上一主题 下一主题
Pyxos嵌入式网络是一种应用于机器内部的低成本的高速传感器网络,它凭借只有5mm×5mm大小的Pyxos芯片能够嵌入到任何一种传感器或执行器中,使得任何机器内部的各个组成部分之间形成智能的数字控制网络,因此要尽量减少Pyxos嵌入式网络中的元器件,这样不仅减少Pyxos网络占用的空间,而且还能简化安装、维护工作,降低网络成本。

链路电源技术能够在同一媒介上既能传输数据信号又能传输24V交流或直流电,也就是说,采用链路电源技术的Pyxos嵌入式网络上的节点可以同时从通信数据线上取得工作电源,这样避免了额外电源线的铺设和接口终端的使用,因此降低了Pyxos网络的成本、占用空间和使用的复杂性。

l 链路供给电源模块的设计

采用链路电源技术的Pyxos嵌入式网络需要一个链路供给电源模块,为网络提供所需的24V交流或直流电。根据链路供给电源模块输出端电源的形式,又将其分为链路直流供给电源模块和链路交流供给电源模块。

1)链路直流供给电源模块的设计

链路直流供给电源模块向Pyxos嵌入式网络提供24V的直流电,如果Pyxos嵌入式网络上的节点单元负载小于32个且每个单元所需的电流小于35mA,那么可以根据实际应用情况适当降低链路直流供给电源模块输出端电压。链路直流供给电源模块由电源变压器、整流滤波电路、稳压电路和直流电源滤波器组成,如图l所示。220V交流电经过电源变压器降压,然后通过整流电路的桥式整流将交流电变成脉动的直流电,由于整流后的电压还有较大的交流成分,必须通过LC滤波电路加以滤除,从而得到比较平滑的直流电压。经过滤波电路后所得到的直流电压,虽然脉动小了,但是电压的数值仍是不稳定的。

稳压电路可以保持输出直流电压的稳定,使之不随电网电压、负载或温度的变化而变化。CW7824稳压器中设有比较完善的保护电路,主要用来保护调整管。它具有过流、过压和过热保护功能。当输出过流或短路时,过流保护电路动作以限制调整管电流的增加;当输入、输出压差较大,过压保护电路动作,自动降低调整管的电流,以限制调整管的功耗,使之处于安全工作区内。过热保护电路是集成稳压器独特的保护措施,当芯片温度较低时,过热保护电路不起作用;当芯片温度上升到最大允许值时,保护电路将迫使输出电流减小,芯片功耗随之减少,从而可避免稳压器因过热而损坏。C2和C3防止稳压器产生高频自激振荡和抑制电路引入的高频干扰;C4减小稳压电源输出端由输入电源引入的低频干扰;当输入端短路时,VD给电容C4一个放电通路,用来防止电容C4所存储电荷通过稳压器放电而损坏器件。

为保证该链路直流供给电源模块稳定可靠的工作,在电压的输出端外加电容C5、C6,电感L2、L3,构成直流电源滤波器,以便减少噪音对Pyxos网络的干扰。

2)链路交流供给电源模块的设计

链路交流供给电源模块向Pyxos嵌入式网络提供24V的交流电,由交流滤波电路和24VAC降压变压器组成,如图2所示。交流滤波电路的压敏电阻R1用于抵抗浪涌冲击;L1、L2、C1和C2用来滤除串模噪音;L3、L4和C3、C4用来消除消除共模噪音,L3、L4绕在同一个磁环上,它们具有相同的匝数,一般各绕10~15匝,线径视通过电流而定。由于电源线的往返电流所产生的磁通,在磁芯中相互抵消,故L3、L4对串模噪声无电感作用,抗共模噪声则具有电感抑制作用。24VAC变压器将滤波处理后的纯净220V交流电降压到24V。如果Pyxos网络网络的单元负载为32个,那么为使网络正常工作,变压器的额定容量至少为55VA,若单元负载小于32个,可适当降低变压器的额定容量。另外为保障变压器不能超载,其次级漏电感不得小于950μH。

20090727101928383.jpg

2 链路节点电源模块的设计

由于Pyxos嵌入式网络采用链路电源技术,因此在Pyxos节点中的链路节点电源模块的电源输入端外加低通滤波器,使之数据信号不能通过,只允许24V直流或交流电进入链路节点电源模块,另外在节点中的Pyxos处理器的信号输入端外加高通滤波器,使之24V直流或交流电不能通过,只允许数据信号通过。图3所示的是节点电源的开关电路,二极管构成生物桥式电路对输入电源进行整流滤波或无极性转换,通过晶体管VT201、变压器VT201和二极管VD201的降压作用向Pyxos芯片提供3.3V的供给电压,电流最高可以达100mA,通过稳压管U202和光电耦合器的U20l的反馈作用,开关电源的频率可以根据电源的负载变化而变化,在重载时,开关电源的频率可以达到50kHz,轻载时,电源的频率可以达到150kHz。开关电源具有重量轻,体积小等特点。另外,由于功耗小,节点温升低,从而提高了整个节点的稳定性和可靠性。
20090727101929682.jpg
20090727101929169.jpg

3 链路节点距离的设计

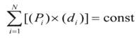
由于Pyxos嵌入式网络所使用的通信电缆存在内在阻抗的原因,因此采用链路电源技术的Pyxos节点与链路供给电源模块的距离受到一定的限制,此外还受通信电缆型号、网络拓扑结构、链路供给电源模块输出电源的形式以及节点在网络上的分布状况决定。网络节点越多,则节点与链路供给电源模块的距离越小;反之,节点与链路供给电源模块的距离越大。合理地在网络上分配Pyxos节点可以提高网络性能。实际工程应用中通常根据下面的经验公式来确定:
20090727101929506.jpg

N为Pyxos网络上的节点数目;

当节点需要35~100mA的电流时,Pi=l,当节点需要的电流的电流小于35mA时,Pi=1/2;
const为网络常数(根据网络节点数在Pyxos芯片技术手册中确定);

4 结束语

链路电源技术利用数据信号和电源信号频率不同的特点实现了Pyxos嵌入式网络的双绞线通信电缆在传递数据信号的同时,可以从通信数据线上取得工作电源,且允许网络采用星型、环形、菊花链型、总线型等结构。实际应用表明这是方便经济且可靠的技术,特别适合在那些不能为设备提供本地供电方式的应用场合,不仅降低了Pyxos节点的成本、尺寸和使用的复杂性,还降低了设备的安装时间和成本。但是节点在网络中的分布必须合理分布,否则会降低网络的可靠性。

该会员没有填写今日想说内容.

精彩评论1

男人的味道 发表于 2014-4-15 22:16:00 | 显示全部楼层
没太看明白
智能技术共享平台 - 未来论 http://www.mywll.com/
回复

使用道具 举报

高级模式
您需要登录后才可以回帖 登录 | 立即注册

本版积分规则

关注2973

粉丝3242

帖子9944

发布主题
阅读排行 更多
广告位
!jz_fbzt! !jz_sgzt! !jz_xgzt! 快速回复 !jz_sctz! !jz_fhlb! 搜索

智能技术共享平台 - 未来论

关注服务号

进入小程序

全国服务中心:

运维中心:天津

未来之家:天津 青岛 济南 郑州 石家庄

                商务邮箱:xy@mywll.com

Copyright © 2012-2021 未来派 未来论 (津ICP备16000236号-5)